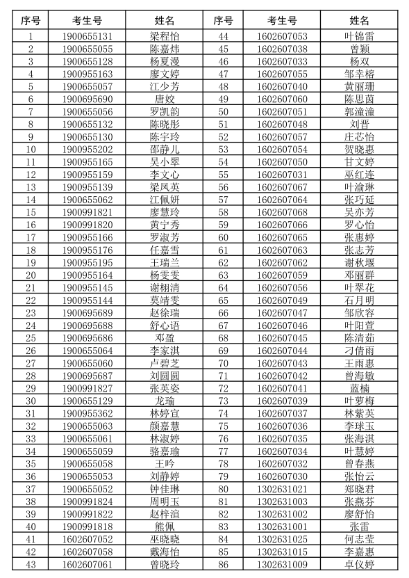
2019年中高职衔接三二分段转段录取名单公示 时间:2019-06-17 作者: 游览: 字号:小中大 根据《广东省教育厅 广东省招生委员会办公室关于做好2018年职业院校中高职衔接三二分段转段考核工作的通知》粤教职函〔2018〕67号文件精神,经省考试院审核通过,我校2019年中高职衔接三二分段转段录取考生86名,现对录取考生进行公示。